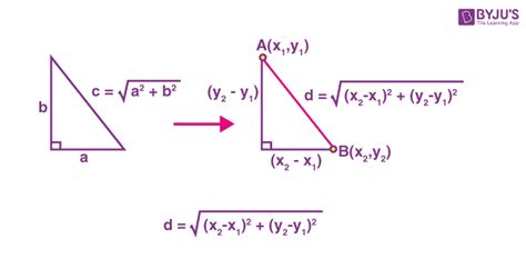
shortest distance between two points is called displacement
shortest distance between two points is called displacement. There are some references to shortest distance between two points is called displacement in this article. If you are looking for shortest distance between two points is called displacement you've came to the right place. We have posts about shortest distance between two points is called displacement. You can check it out below.
Showing posts matching the search for shortest distance between two points is called displacementBlog Archive
-
▼
2023
(50)
-
▼
May
(13)
- 2023 Mlb Opening Day Date
- What Is Damning Indictment
- Shooting On West End Nashville
- Mlb Opening Day Facts
- Shooting In Centennial Park Nashville
- Shooting Last Night Nashville Tn
- Shooting At A Funeral In Nashville
- What Is Investigation Under Crpc
- Mlb Opening Day Hashtags
- State Holiday Travel: Destinations To Visit During...
- What Is Indictment Of A Grand Jury
- Alvin Bragg Campaign Donations
- Mlb Opening Day Broadcast Schedule
-
▼
May
(13)
Total Pageviews
Search This Blog
Powered by Blogger.
